Lippincott receives 2025 Schmidt Sciences award for computational humanities
Tom Lippincott, associate research professor of computer science at Johns Hopkins University, has been selected for a 2025 Humanities and AI Virtual Institute award from Schmidt Sciences. The program is supporting 23 teams worldwide that are developing new ways to connect artificial intelligence with humanistic research.
Lippincott’s work focuses on how machine learning can support and extend traditional scholarship in the humanities, with an emphasis on interpretable, unsupervised models of cultural production and interpretation. He holds roles across the university, including director of the Center for Digital Humanities, affiliate of the Center for Language and Speech Processing, and member of the Alexander Grass Humanities Institute and the Data Science and AI Institute.

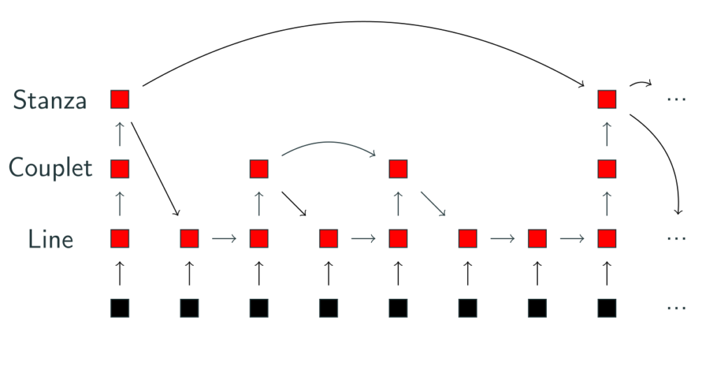
An illustration of how a simple gated model might reflect natural divisions of poetic form.
As part of the Schmidt Sciences award, Lippincott and his collaborators at Johns Hopkins University, Princeton University, and Durham University in the United Kingdom will develop an AI toolkit to help scholars analyze hierarchical patterns in poetry, narrative, and music. The project aims to make it easier to discover and visualize structure that allows these materials to communicate so effectively, make empirically-grounded comparisons across modalities, and address historical, literary, and cognitive hypotheses about human culture.
